Lecture 09: Regression Inference and Multiple Regression

Joseph Rudoler

2026-01-06

Recap: Linear Regression

\[Y = \beta_0 + \beta_1 X + \epsilon\]

  • \(\beta_0\): intercept
  • \(\beta_1\): slope
  • \(\epsilon\): error term (random noise)

We use data to estimate \(\hat{\beta}_0\) and \(\hat{\beta}_1\)

Sampling Variability in Regression

Different samples → different estimates of \(\beta\)

This is the same sampling variability we’ve discussed throughout the course!

Hypothesis Testing in Regression

Common question: Is there a relationship between \(X\) and \(Y\)?

Hypotheses:

  • \(H_0\): \(\beta_1 = 0\) (no relationship)
  • \(H_1\): \(\beta_1 \neq 0\) (there is a relationship)

Simulating the Null Distribution

How can we generate \(\hat{\beta}_1\) values under \(H_0\)?

Permutation test: Shuffle \(Y\) values to break the \(X\)-\(Y\) relationship

Permutation Test for Regression

Code
def permutation_test_regression(data, x_col, y_col, n_permutations=1000, rng=None):
    if rng is None:
        rng = np.random.default_rng()
    
    # Observed slope
    model = smf.ols(f'{y_col} ~ {x_col}', data=data).fit()
    observed_beta = model.params[x_col]
    
    # Permutation distribution
    perm_betas = []
    for _ in range(n_permutations):
        y_perm = rng.permutation(data[y_col])
        perm_model = smf.ols(f'{y_col} ~ {x_col}', 
                              data=data.assign(**{y_col: y_perm})).fit()
        perm_betas.append(perm_model.params[x_col])
    
    perm_betas = np.array(perm_betas)
    p_value = np.mean(np.abs(perm_betas) >= np.abs(observed_beta))
    
    return observed_beta, perm_betas, p_value

Example

Observed slope: 0.5596
Permutation p-value: 0.0000

Permutation vs Parametric

Parametric Results Match!

                            OLS Regression Results                            
==============================================================================
Dep. Variable:                      y   R-squared:                       0.443
Model:                            OLS   Adj. R-squared:                  0.437
No. Observations:                 100   F-statistic:                     77.87
Covariance Type:            nonrobust   Prob (F-statistic):           4.29e-14
==============================================================================
                 coef    std err          t      P>|t|      [0.025      0.975]
------------------------------------------------------------------------------
Intercept     -0.0023      0.049     -0.047      0.962      -0.100       0.095
x              0.5596      0.063      8.824      0.000       0.434       0.685
==============================================================================

Notes:
[1] Standard Errors assume that the covariance matrix of the errors is correctly specified.

Confidence Intervals for Regression

Use bootstrap to estimate CI for slope:

Code
def bootstrap_regression_ci(data, x_col, y_col, n_bootstraps=1000, alpha=0.05, rng=None):
    if rng is None:
        rng = np.random.default_rng()
    
    n = len(data)
    coefs = []
    for _ in range(n_bootstraps):
        sample = data.sample(n, replace=True)
        model = smf.ols(f"{y_col} ~ {x_col}", data=sample).fit()
        coefs.append(model.params[x_col])
    
    coefs = np.array(coefs)
    lower = np.percentile(coefs, 100 * alpha / 2)
    upper = np.percentile(coefs, 100 * (1 - alpha / 2))
    return coefs, lower, upper

Bootstrap CI Example

Bootstrap 95% CI for slope: [1.362, 1.758]
True slope: 1.5

Parametric 95% CI: [1.352, 1.761]

Bootstrap Distribution

Multiple Regression

What if we have multiple predictors?

\[Y = \beta_0 + \beta_1 X_1 + \beta_2 X_2 + \cdots + \beta_p X_p + \epsilon\]

This is multiple linear regression

Example: Student Performance

Predicting student grades from various factors:

  • Parent education
  • Study time
  • Family relationships
  • And more…

The Data

Medu Fedu studytime G3
0 4 4 2 6
1 1 1 2 6
2 1 1 2 10
3 4 2 3 15
4 3 3 2 10

Simple Regression: Father’s Education

                            OLS Regression Results                            
==============================================================================
Dep. Variable:                     G3   R-squared:                       0.023
Model:                            OLS   Adj. R-squared:                  0.021
No. Observations:                 395   F-statistic:                     9.352
Covariance Type:            nonrobust   Prob (F-statistic):            0.00238
==============================================================================
                 coef    std err          t      P>|t|      [0.025      0.975]
------------------------------------------------------------------------------
Intercept      8.7967      0.576     15.264      0.000       7.664       9.930
Fedu           0.6419      0.210      3.058      0.002       0.229       1.055
==============================================================================

Notes:
[1] Standard Errors assume that the covariance matrix of the errors is correctly specified.

But Wait…

What about mother’s education?

Let’s look at how these variables relate:

Fedu Medu G3
Fedu 1.000 0.623 0.152
Medu 0.623 1.000 0.217
G3 0.152 0.217 1.000

The Problem: Multicollinearity

Father’s and mother’s education are correlated!

  • Students with educated fathers often have educated mothers
  • Hard to separate individual effects

Multiple Regression to the Rescue

Include both predictors:

                            OLS Regression Results                            
==============================================================================
Dep. Variable:                     G3   R-squared:                       0.048
Model:                            OLS   Adj. R-squared:                  0.043
No. Observations:                 395   F-statistic:                     9.802
Covariance Type:            nonrobust   Prob (F-statistic):           7.01e-05
==============================================================================
                 coef    std err          t      P>|t|      [0.025      0.975]
------------------------------------------------------------------------------
Intercept      7.8205      0.648     12.073      0.000       6.547       9.094
Fedu           0.1176      0.265      0.443      0.658      -0.404       0.639
Medu           0.8359      0.264      3.168      0.002       0.317       1.355
==============================================================================

Notes:
[1] Standard Errors assume that the covariance matrix of the errors is correctly specified.

Interpretation

Before (Fedu only): significant effect

After (Fedu + Medu): Fedu effect shrinks, Medu dominates

Multiple regression controls for other variables!

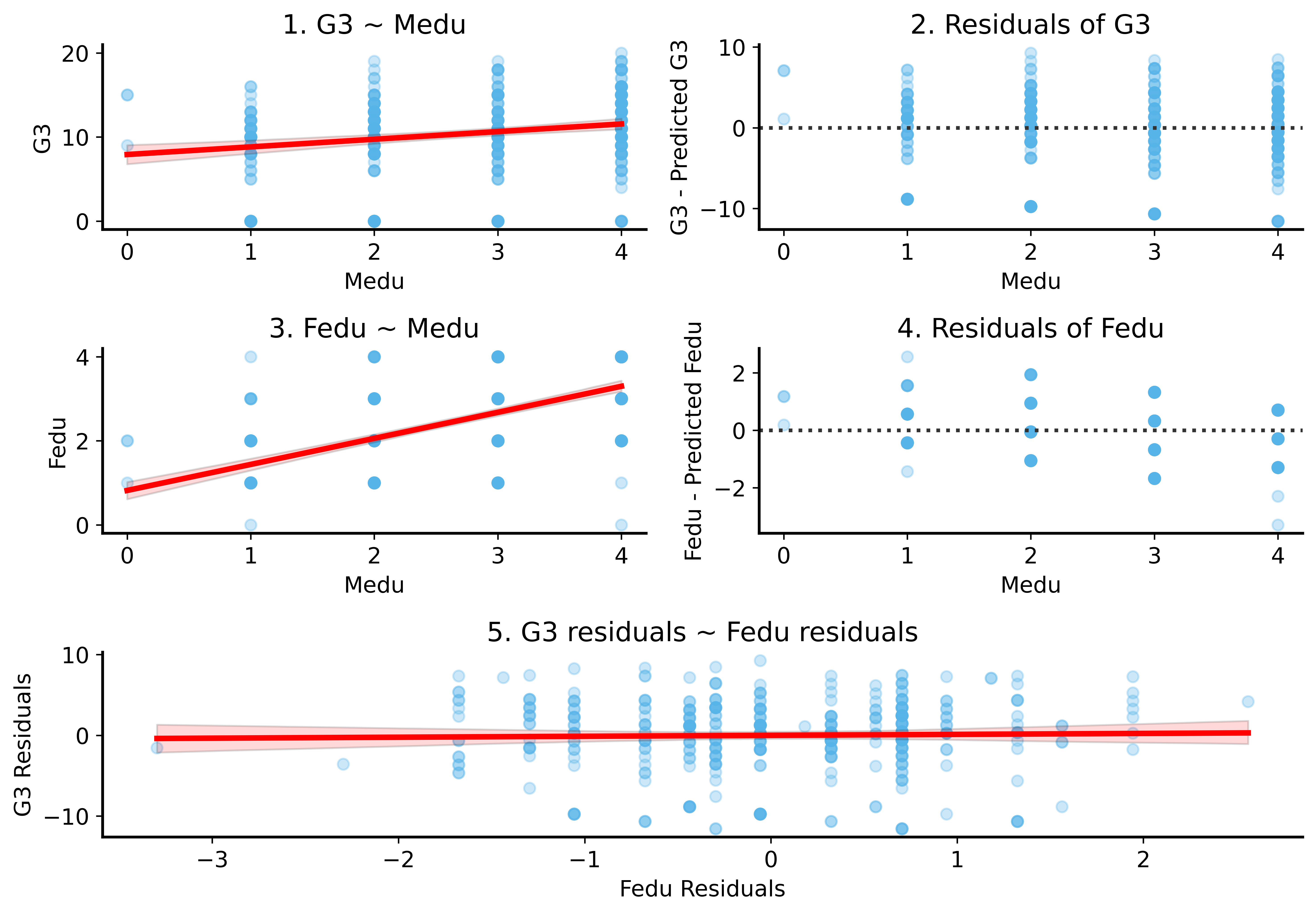
What Multiple Regression Does

For Fedu coefficient:

  1. Predict G3 from Medu → get residuals (part of G3 not explained by Medu)
  2. Predict Fedu from Medu → get residuals (part of Fedu not explained by Medu)
  3. Regress G3 residuals on Fedu residuals

The coefficient shows Fedu’s effect after accounting for Medu

Visualizing the Process

Causality Warning!

Correlation (even in regression) ≠ Causation

Two main issues:

  1. Confounding variables: A third variable causes both X and Y
  2. Reverse causation: Y might cause X, not vice versa

Confounding Example

Does mother’s education cause better grades?

Or do they share a common cause (e.g., family wealth)?

  • Wealth → can afford education for mom
  • Wealth → can afford tutoring for student

The “Reverse” Regression

What if we regress Medu on G3?

                            OLS Regression Results                            
==============================================================================
Dep. Variable:                   Medu   R-squared:                       0.404
Model:                            OLS   Adj. R-squared:                  0.401
No. Observations:                 395   F-statistic:                     132.8
Covariance Type:            nonrobust   Prob (F-statistic):           9.00e-45
==============================================================================
                 coef    std err          t      P>|t|      [0.025      0.975]
------------------------------------------------------------------------------
Intercept      0.9051      0.136      6.658      0.000       0.638       1.172
Fedu           0.6080      0.040     15.319      0.000       0.530       0.686
G3             0.0299      0.009      3.168      0.002       0.011       0.048
==============================================================================

Notes:
[1] Standard Errors assume that the covariance matrix of the errors is correctly specified.

This suggests G3 “causes” Medu — obviously wrong!

Solutions for Causality

  1. Include confounders in the model (if you can measure them)
  2. Randomized controlled trials (gold standard)
  3. Advanced causal inference methods (beyond this course)

Summary

Regression Inference

  • Use permutation tests or bootstrap for hypothesis testing
  • Same principles as before, applied to regression

Multiple Regression

  • Include multiple predictors simultaneously
  • Controls for confounding between predictors

Causality

  • Regression shows association, not causation
  • Need additional assumptions or experimental design

Course Summary

We’ve covered a complete statistical toolkit:

  1. Probability — foundation for reasoning about uncertainty
  2. Sampling & Simulation — generating data from models
  3. Statistical Models — DGPs, LLN, CLT
  4. Hypothesis Testing — p-values, significance
  5. Confidence Intervals — quantifying uncertainty
  6. Bootstrapping — no distributional assumptions
  7. Permutation Tests — the universal test
  8. Regression — prediction and inference

Key theme: Quantifying and communicating uncertainty!